技术实力雄厚,生产团队完善,欢迎您的光临。
专注生产和经营振动工程和环保设备
CPPC气箱脉冲布袋羞羞漫画WWW成人漫画樱简介:
CPPC气箱脉冲布袋羞羞漫画WWW成人漫画樱构造和工作原理:
CPPC气箱脉冲布袋羞羞漫画WWW成人漫画樱由壳体(一般5mm的碳钢板焊接而成)、支架和脉冲清灰系统、灰斗、排灰装置等部件组成。当含尘气体从进风口进入PPC气箱脉冲布袋羞羞漫画WWW成人漫画樱后,首先碰到进风口中间的斜隔板,气流便转向流入灰斗,同时气流速度变慢,由于惯性作用,使气体中粗颗粒粉尘直接落入灰斗,起到预收尘的作用,进入灰斗的气流后折而向上通过内部装有金属除尘骨架的除尘布袋,粉尘被捕集在滤袋的外表面,净化后的气体进入除尘布袋室上部的清洁室,汇集到出风管而排出。排出的净空气完全达到国家要求的排放标准,过滤效率达99.99%,CPPC气箱脉冲布袋羞羞漫画WWW成人漫画樱是目前国内除尘效率*高的除尘设备。
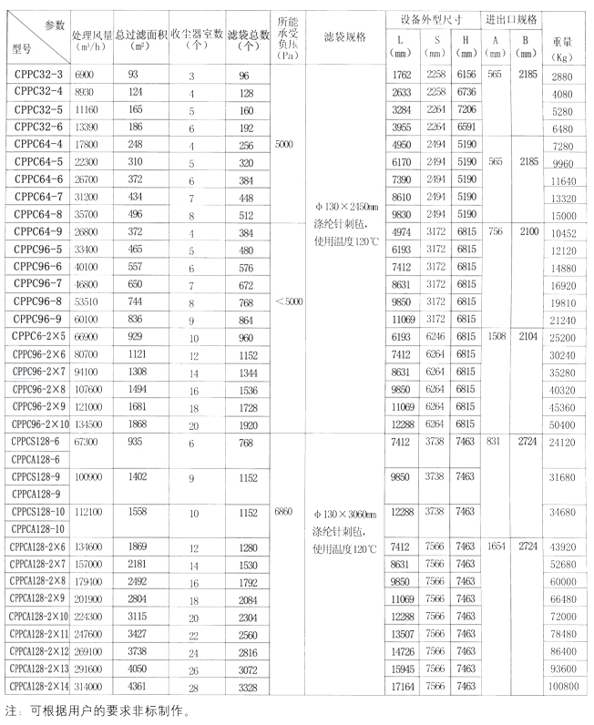
CPPC气箱脉冲布袋羞羞漫画WWW成人漫画樱产品共有33种规格,每室的袋有32、64、96、128袋四种,除尘布袋长度有2450mm和3060mm两种,收尘效率可达99.9%以上,净化后气体的含尘浓度小于100mg/m3(标)本系列收尘器如用于寒冷地区,当室外采暖计算温度≤-25℃时,要设热装置。
CPPC气箱脉冲布袋羞羞漫画WWW成人漫画樱一般是在负压下进行工作,但也可在正压下工作,结构无须改变。
CPPC气箱脉冲布袋羞羞漫画WWW成人漫画樱对滤袋停风及喷吹的时间,分室之间的间隔时间,清灰周期由程控仪进行控制,各时间均为可调。
CPPC型气箱式脉冲布袋羞羞漫画WWW成人漫画樱的特点是:
CPPC型气箱式脉冲布袋羞羞漫画WWW成人漫画樱采用分室轮流进行清灰,即所谓离线清灰。当某一室进行喷吹清灰时,过滤气流被切断,避免了喷吹清灰产生粉尘二次飞扬。所以PPC型气箱式脉冲布袋羞羞漫画WWW成人漫画樱能捕集含尘浓度高达1000g/m3的气体。本系列产品可广泛用于水泥厂的破碎安装、库顶、熟冷却机和和磨机等收尘系统。

专注生产和经营振动工程和环保设备
我公司产品选用高品质原材料
注重口碑,做更好的产品
产品的每一个制作步骤
都有专人把控。
产品经得起检测机构推敲
保证每个产品的质量。
公司拥有齐全的生产设备
达数十台设备。
有经验丰富的技术人才若干人
进行产品升级及研发。
公司拥有健全的售后服务体系
保证售后问题能立即处理。
专注生产和经营振动工程和环保设备
专注生产和经营振动工程和环保设备
专注生产和经营振动工程和环保设备